こんにちは⭐ ミドリケムです。
前回のブログでエナンチオマーに関しての基本的な内容、さらには表記方法を解説しました。
今回のブログではその立体異性体についてもう少し詳しく解説していきます。
前回のブログ↓↓

ジアステレオマーについて
結論からいいます。ジアステレオマーとは鏡像でない立体異性体、つまりエナンチオマーではない立体異性体のことです。
一番有名なのがシスートランス幾何異性体ですね。
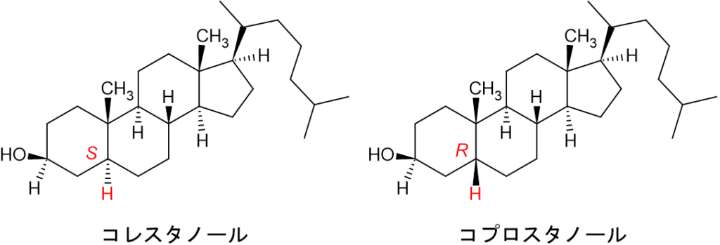
他にも複数のキラル中心を持ち、1か所のみキラル中心が異なった化合物をエピマーといいます。有名なのがα-グルコースとβ-グルコースです。他にも人の排泄物に含まれるコレスタノールとコプロスタノールは9個のキラル中心を持っており、1か所のみ違います。これもエピマーですね。

前回のブログでも言いましたが、立体異性体は生物化学で避けては通れない内容です。ここで登場しましたね。
メソ体とは?
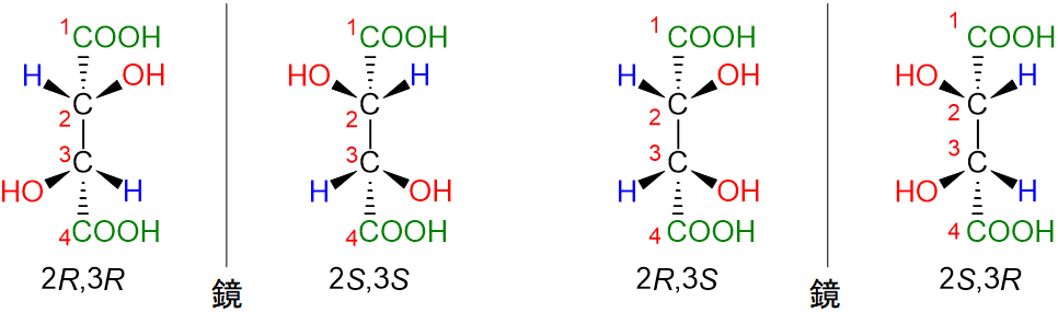
次に2か所キラル中心を持った酒石酸について見ていきましょう。酒石酸は二つのキラル中心を持っています。つまり、2R,3R体、2S,3S体、2R,3S体、および2S,3R体の合計4つの立体異性体を持っており、2R,3R体、2S,3S体同士と2S,3S体、2R,3S体同士がエナンチオマーとなります。

勘の良い人はお気づきになったかもしれませんが、2R,3S体と2S,3R体は実は同じです。2R,3S体を180°回転させると2S,3R体になります。

つまり、酒石酸は二つのエナンチオマーと、アキラル分子の計3つの立体異性体を持っています。この様に、キラル中心をもっていながらアキラルな化合物のことをメソ体といいます。
異性体のまとめ
前回のブログからごっちゃごちゃになっているかもしれないため、異性体を以下の図にまとめました。

構造異性体は分子式は同じであるが、置換基、結合の違い(アルコールやエーテル)の様に構造が違う物質であり、立体異性体は構造式は同じであるが、立体的に視ると配置が違う物質です。
立体異性体の中でも、鏡の様に左右反転した物質をエナンチオマー、それ以外をジアステレオマーといいます。
ジアステレオマーの中にはシストランス幾何異性体も含まれています。
不斉合成法
ここからは反応について解説していきます。前ブログや先程のコレスタノールとコプロスタノールにも言った様に立体異性体は有機合成、特に生物化学においてとても重要になってきます。
ちなみに以前解説したSN1,SN2反応でも立体反転が登場しているため、立体異性体が関わってきますね。
SN1,SN2反応のブログは以下↓↓

また、生物の身体はかなり複雑な構造をしているため、キラル分子のオンパレードです。そのため、生物化学の世界においてもS体とR体の違いにより反応が変わってきます。例えば、S体では薬となってもR体では毒物、あるいは薬の性能を落とすといった可能性があります。
つまり、立体構造が違ってくるだけで、体内にある受容体との関係が変化してきます。受容体もタンパク質の一種です。つまり、基質と酵素との関係に近いものです。
詳しくは以下のブログでも解説しています。↓↓

そのため、製薬会社等、生物化学の世界において、光学物質の分割、あるいはどちらかの構造を選択的に合成する技術が必要となります。前者を光学分割、後者を不斉合成といいます。
光学分割に関しては、ラセミ体等の立体混合物から、被吸着物質と水素結合等、弱い結合を利用して選択的に相互作用して吸着させ、分離するといった方法があります。
他にも先程登場した酒石酸の塩である酒石酸アンモニウムナトリウムは再結晶すると、2種類の結晶が沈殿するといった現象があります。それを発見したLouis Pasteurがピンセットで分けて光学分割を行いました。
しかし、ピンセットで割けるのはさすがに非効率です。他の光学分割も分割率が低かったり、工程を経ることで多少の光学活性物質を無駄にしたりと課題はあります。もちろん、研究が進み、光学分割も改善されていますが、やはり合成時に選択的に生成できた方が良いですよね。
今回は不斉合成について解説していきます。今回もノーベル化学賞の実績を例に解説していきます。
今回は2001年に受賞された野依良治先生、William Knowles先生、Barry Sharpless先生の研究成果を解説します。
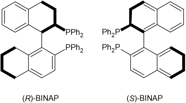
まずは以下の化合物を紹介します。これは、2,2′-bis(diphenylphosphino)-1,1′-binaphthyl、通称BINAPと呼ばれる化合物です。太字で描いた部位が表面に突起出ている構造です。つまり、ナフタレン構造同士がクロスしている状態です。

ルテニウムRuといった遷移金属と錯形成した(R)-BINAP錯体を触媒として、以下のようなβ-ケトエステルを水素還元すると、-OH基が手前に出た構造が主生成物として選択的に合成されました。

また、このBINAPを利用することにより、高砂香料工業株式会社はハッカの香りを感じさせる分子、メントールの合成に成功しました。メントールもエナンチオマーですが、片方はハッカの香りがする一方、もう片方は別の香りがするそうです。
ちなみに、野依良治先生は高砂香料工業株式会社の取締役の方です(2026年2月現在)。
以上が、不斉合成の解説でしたが、光学分割、および不斉合成も多様に研究されています。紹介した不斉合成もほんの1例に過ぎません。
香料、製薬といった生物化学を発展させるには、立体異性体の研究が必要不可欠というわけですね。
参考文献「マクマリー有機化学(上)」J. McMurry 著
参考文献「ノーベル化学賞に輝いた研究のすごいところをわかりやすく説明してみた」山口 悟 著
本日のブログはここまで!! 最後まで読んで頂きありがとうございました!!


コメント